Date published: 2026-4-10

1-800-457-3801

SCBT Portrait Logo
Seach Input

c-Src substrate Substrate

0.0(0)
寫評論提問

备用名:
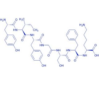
Src substrate II; H-Tyr-Ile-Tyr-Gly-Ser-Phe-Lys-OH
应用:
c-Src substrate 是 c-Src 的合成底物
纯度:
>97% pure by HPLC
分子量:
877.3
分子式:
C44H60N8O11
仅供科研使用。不可用于诊断或治疗。
* 参考分析证明 大量特定数据 (包括水 含量).

快捷链接

c-Src 底物是一种合成的 c-Src 底物。它是 src 家族酪氨酸激酶特异而有效的底物。


c-Src substrate Substrate 参考文献

  1. 干扰蛋白激酶和 beta(3) 尾部的多肽对血小板整合素 alpha(IIb)beta(3) 的抑制。  |  Hers, I., et al. 2000. Arterioscler Thromb Vasc Biol. 20: 1651-60. PMID: 10845885
  2. 基于抗体的肽阵列激酶活性荧光检测。  |  Lesaicherre, ML., et al. 2002. Bioorg Med Chem Lett. 12: 2085-8. PMID: 12127509
  3. 一珠一化合物组合库和化学微阵列在信号转导研究中的应用。  |  Lam, KS., et al. 2003. Acc Chem Res. 36: 370-7. PMID: 12809522
  4. 利用基于假底物的抑制剂设计方法,开发并鉴定 p60c-src 蛋白酪氨酸激酶的强效特异性多肽抑制剂。  |  Kamath, JR., et al. 2003. J Pept Res. 62: 260-8. PMID: 14632929
  5. Src 蛋白酪氨酸激酶在糖修饰二氧化硅中的嵌入  |  Cruz-Aguado, JA., et al. 2004. Anal Chem. 76: 4182-8. PMID: 15253661
  6. 作为 Src 酪氨酸激酶抑制剂的 CIYKYY 线性和构象受限多肽类似物的合成及结构-活性关系。  |  Kumar, A., et al. 2006. J Med Chem. 49: 3395-401. PMID: 16722659
  7. 合成和评估作为 Src 激酶抑制剂的 3-苯基吡唑并[3,4-d]嘧啶肽共轭物。  |  Kumar, A., et al. 2007. ChemMedChem. 2: 1346-60. PMID: 17530729
  8. 双质子化胰肽产生的 b(2) 离子的结构是什么?  |  Bythell, BJ., et al. 2009. J Am Soc Mass Spectrom. 20: 618-24. PMID: 19109036
  9. 用于芯片上多肽微阵列合成的自动无掩模光刻系统。  |  Shin, DS., et al. 2010. J Comb Chem. 12: 463-71. PMID: 20666398
  10. 白细胞介素-2诱导的新型T细胞激酶抑制剂CTA056的分子特征,它可选择性地靶向恶性T细胞并调节肿瘤生长。  |  Guo, W., et al. 2012. Mol Pharmacol. 82: 938-47. PMID: 22899868
  11. 从牛视网膜中纯化出一种 Src 家族酪氨酸蛋白激酶。  |  Perdomo, D. and Bubis, J. 2021. Z Naturforsch C J Biosci. 76: 273-283. PMID: 33125342
  12. Src 家族蛋白酪氨酸激酶特异性合成肽底物的鉴定和表征。  |  Lam, KS., et al. 1995. Int J Pept Protein Res. 45: 587-92. PMID: 7558590
  13. 通过随机文库方法识别蛋白激酶的底物基团。  |  Wu, J., et al. 1994. Biochemistry. 33: 14825-33. PMID: 7993909
  14. 鉴定 GIYWHHY 为人类 p60c-src 蛋白酪氨酸激酶的新型多肽底物。  |  Lou, Q., et al. 1996. Bioorg Med Chem. 4: 677-82. PMID: 8804533
  15. 发现一系列基于 p60c-src 蛋白酪氨酸激酶底物的新型强效选择性抑制剂:多肽设计中的构象和地形限制。  |  Alfaro-Lopez, J., et al. 1998. J Med Chem. 41: 2252-60. PMID: 9632358

订购信息

产品名称产品编号规格价格数量收藏夹

c-Src substrate, 2 mg

sc-3116
2 mg
$96.00