

Direktverknüpfungen
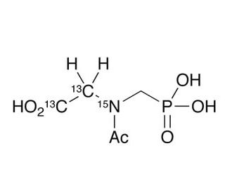
N-Acetylglyphosat-13C2,15N ist ein stabiles isotopenmarkiertes Analogon der weithin untersuchten Verbindung Glyphosat. In der Forschung wird diese Verbindung in erster Linie als Tracer oder interner Standard für die Analyse und den Nachweis von Glyphosatrückständen in verschiedenen Matrices mit Hilfe massenspektrometrischer Verfahren verwendet. Der Einbau von 13C- und 15N-Isotopen in das Glyphosatmolekül ermöglicht die Unterscheidung von nicht markiertem Glyphosat aufgrund der einzigartigen Massensignatur dieser Isotope. N-Acetylglyphosat-13C2,15N ist besonders wertvoll in Umweltstudien, wo es zum Verständnis des Transports, des Abbaus und der Persistenz von Glyphosat in Ökosystemen beiträgt. Außerdem wird es in Stoffwechselstudien verwendet, um die Aufnahme und Biotransformation der Verbindung in Pflanzen und Mikroorganismen zu untersuchen. Die Spezifität und erhöhte Genauigkeit, die die Markierung mit stabilen Isotopen bietet, sind für Forscher, die die Auswirkungen von Glyphosat auf die Umwelt und sein Verhalten analysieren, von entscheidender Bedeutung.
Bestellinformation
| Produkt | Katalog # | EINHEIT | Preis | ANZAHL | Favoriten | |
N-Acetyl Glyphosate-13C2,15N, 1 mg | sc-479502 | 1 mg | $367.00 | |||
N-Acetyl Glyphosate-13C2,15N, 10 mg | sc-479502A | 10 mg | $2968.00 | |||
N-Acetyl Glyphosate-13C2,15N, 25 mg | sc-479502B | 25 mg | $7150.00 | |||
N-Acetyl Glyphosate-13C2,15N, 50 mg | sc-479502C | 50 mg | $12250.00 |