

ACCÈS RAPIDE AUX LIENS
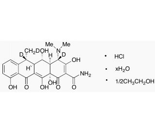
Le Doxycycline-d3 Hyclate est fréquemment utilisé dans le domaine de la chimie analytique, où il sert d'étalon stable marqué isotopiquement pour diverses applications analytiques, en particulier en spectrométrie de masse. Son utilisation est importante pour la quantification précise de la doxycycline dans les échantillons environnementaux, où sa stabilité permet de suivre la distribution et les schémas de dégradation du composé. En tant que composé deutéré, le Doxycycline-d3 Hyclate est utilisé pour le développement de méthodes et l'étalonnage, ce qui garantit que les méthodes analytiques sont à la fois sensibles et spécifiques. Dans la recherche axée sur la biorestauration environnementale, il aide à comprendre comment la doxycycline est métabolisée par les micro-organismes et éliminée des systèmes naturels. En outre, le Doxycycline-d3 Hyclate est un réactif clé dans les études visant à contrôler la présence d'antibiotiques dans les eaux de ruissellement agricoles et les stations d'épuration, contribuant ainsi à l'évaluation des impacts écologiques potentiels.
Informations pour la commande
| Nom du produit | Ref. Catalogue | COND. | Prix HT | QTÉ | Favoris | |
Doxycycline-d3 Hyclate, 1 mg | sc-496322 | 1 mg | $412.00 | |||
Doxycycline-d3 Hyclate, 10 mg | sc-496322A | 10 mg | $2919.00 |