Date published: 2025-11-4

00800 4573 8000

SCBT Portrait Logo
Seach Input

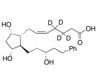
Latanoprost Acid-d4 (CAS 1224443-47-3)

0.0(0)
Escribir una reseñaHacer una pregunta

Nombres Alternativos:
Latanoprost Related Compound E USP-d4
Número de CAS:
1224443-47-3
Peso Molecular:
394.54
Fórmula Molecular:
C23H30D4O5
Para Uso Exclusivo en Investigación. No está diseñado para uso en diagnosis o terapia.
* En el Certificado de Análisis específico de lote, puede encontrar información específica (como el contenido en agua).

ENLACES RÁPIDOS

Información sobre pedidos

Nombre del productoNúmero de catálogoUNIDADPrecioCANTIDADFavoritos

Latanoprost Acid-d4, 1 mg

sc-488132
1 mg
$440.00

Latanoprost Acid-d4, 1 mg

sc-488132-CW
1 mg
$592.00