Date published: 2025-10-29

00800 4573 8000

SCBT Portrait Logo
Seach Input

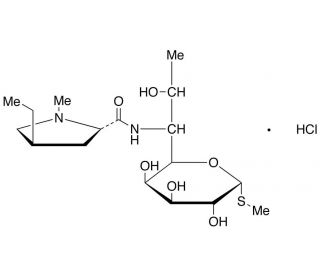
Lincomycin B Hydrochloride (CAS 11021-35-5)

0.0(0)
Escrever uma avaliaçãoFazer uma pergunta

Nomes alternativos:
(2S-trans)-Methyl 6,8-Dideoxy-6-[[(4-ethyl-1-methyl-2-pyrrolidinyl)carbonyl]amino]- 1-thio-D-erythro-α-D-galactooctopyranoside MonoHydrochloride
Numero VAT:
11021-35-5
Peso Molecular:
428.97
Separar por Funcao:
C17H33ClN2O6S
Para uso em exclusivo em pesquisa. Não se destina a uso em diagnostico e tratamento.
* Refere-se a Certificado de Análise para data especifica de lotes (incluindo-se o conteúdo de agua).

LINKS RÁPIDOS

Informacoes sobre ordens

Nome do ProdutoNumero de CatalogoUNIDPrecoQdeFAVORITOS

Lincomycin B Hydrochloride, 1 mg

sc-489001
1 mg
$497.00