Date published: 2025-10-14

00800 4573 8000

SCBT Portrait Logo
Seach Input

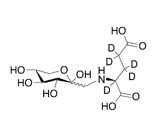
Fructose-glutamic Acid-D5 (CAS 31105-01-8 unlabeled)

0.0(0)
Escrever uma avaliaçãoFazer uma pergunta

Nomes alternativos:
N-(1-Deoxy-D-fructos-1-yl)-L-glutamic Acid-D5; (S)-1-Deoxy-1-[(1,3-dicarboxypropyl)amino]-D-fructose-D5; 1-Deoxy-1-[(L-1,3-dicarboxypropyl)amino]-D-fructose-D5
Numero VAT:
31105-01-8 unlabeled
Peso Molecular:
314.3
Separar por Funcao:
C11H14D5NO9
Para uso em exclusivo em pesquisa. Não se destina a uso em diagnostico e tratamento.
* Refere-se a Certificado de Análise para data especifica de lotes (incluindo-se o conteúdo de agua).

LINKS RÁPIDOS

Informacoes sobre ordens

Nome do ProdutoNumero de CatalogoUNIDPrecoQdeFAVORITOS

Fructose-glutamic Acid-D5, 1 mg

sc-490725
1 mg
$430.00