

Direktverknüpfungen
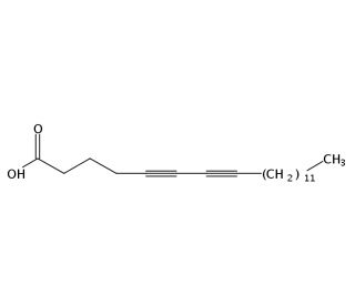
5,7-Eicosadiynsäure mit der CAS-Nummer 69288-29-5 ist eine einzigartige mehrfach ungesättigte Fettsäure, die dadurch gekennzeichnet ist, dass sie zwei Dreifachbindungen an der fünften und siebten Position ihrer Kohlenstoffkette aufweist. Dieses Strukturelement unterscheidet sie von typischen mehrfach ungesättigten Fettsäuren, die im Allgemeinen Doppelbindungen enthalten, und verleiht ihr besondere physikalische und chemische Eigenschaften. In der Forschung hat diese Säure dazu beigetragen, die Auswirkungen von Dreifachbindungen in Fettsäuren auf die biophysikalischen Eigenschaften von Zellmembranen, einschließlich Permeabilität und Fluidität, zu untersuchen. Das Vorhandensein von Dreifachbindungen wirkt sich erheblich auf die Art und Weise aus, wie diese Fettsäure mit Lipiddoppelschichten und anderen Membranbestandteilen interagiert, was für das Verständnis der Membrandynamik und -stabilität unter verschiedenen physiologischen Bedingungen entscheidend ist. Darüber hinaus wurde 5,7-Eicosadiynsäure als Sonde in biochemischen Studien verwendet, die die Mechanismen der Lipidoxidation und deren Folgen für die zelluläre Integrität und Signalübertragung untersuchen. Ihre einzigartige Reaktivität aufgrund der Dreifachbindungen hat sie auch zu einem Thema in der Forschung der synthetischen Chemie gemacht, wo sie als Vorläufer oder Zwischenprodukt bei der Synthese komplexer organischer Verbindungen untersucht wurde. Durch diese vielfältigen Anwendungen leistet 5,7-Eicosadiynsäure einen umfassenden Beitrag zu den Bereichen Membranbiophysik, organische Synthese und Lipidbiochemie und verbessert unser Verständnis der komplexen Verhaltensweisen von Lipiden in biologischen Systemen.
Bestellinformation
| Produkt | Katalog # | EINHEIT | Preis | ANZAHL | Favoriten | |
5,7-Eicosadiynoic acid, 5 mg | sc-507132 | 5 mg | $474.00 |